Ask Data Structure Expert

Redraw the following schematics with the impedance of each of the element shown in Laplace domain. Then determine the overall impedance of the entire circuit between the two ends of the shown circuit and express it in Laplace domain as a ratio of two polynomials in s, with the coefficients of the highest power if s in the numerator and denominator are made unity. (Follow the method outlined in the lecture to determine the impedances of elements in Laplace domain and then use the formulas for combining impedances in series and parallel.)

1762_Determine the impedances of elements in Laplace domain.png

1162_Determine the impedances of elements in Laplace domain1.png

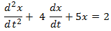
(a) Apply Laplace transform to the following differential equation and express it as an algebraic equation ins.

878_Laplace transform.png

(b) Given that all initial conditions are zero, 149_Determine the impedances of elements in Laplace domain3.png,solve for x(t) as a function of time by inverting x(s) using Laplace transform pair tables. Show the steps you took in finding the answer.

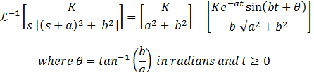
Hint: Make use of the following Laplace transform pairs in this and following problems.

2311_Laplace transform1.png

The above formula is used when the roots of the algebraic equation obtained by applying Laplace transform to the differential equation are complex. When roots are real, we use the following:

1441_Laplace transform2.png

(c) Now solve the differential equation using the "Dsolve"command of MATLAB as explained in the lecture for Week 2.Paste your MATLAB commands and answers obtained below and prove that the two answers (one obtained by inverting using Laplace tables in part (b) and the answer provided by MATLAB) agree by solving for value of x(t)att= infinity and t = 0 seconds in both cases. This shows that the same expression can be represented in more than one form. Trigonometric identities can be used to show that the two expressions are the same, though you are not required to do that as part of the homework.

An RC circuit with an initial condition is shown below. The toggle switch is closed at t= 0. Assuming that a current i(t) flows clockwise in the circuit, Write the integral equation that governs the behavior ofthe circuitcurrent and solve it for the current in the circuit i(t) andvoltage across the capacitor as a function of time using Laplace transforms.Note the polarity of the initial condition as marked in the figure.(Take help fromthe document "Solving RC, RLC,and RLCircuits Using Laplace Transforms" (located in Doc Sharing) and the Week 2 Lecture to see how initial conditions are entered in Laplace domain.)

181_Laplace transform4.png

Make use of the following Laplace transform pair:

1622_Laplace transform5.png

The voltage in a circuit, expressed inLaplace domain, is given by the questions below.

a. 752_Laplace transform6.png Find v(t) by first performing a partial fraction expansion and then inverting back to time domain using Laplace tables.

b. Determine the numerical value of v(t) at t= 1second.

c. The voltage in a circuit, expressed inLaplace domain, is given by V(s)= 5/(s2 + 2s + 5).Find v(t) using Laplace tables.

d. Determine the numerical value of v(t) at t= 1 second.

An RLC circuit is shown below. There is an initial voltage of 5 V on the capacitor, with polarity as marked in the circuit. The switch is closed at t= 0 and a current i(t) is assumed to flow clockwise. Write the integral-differential equation of this circuit using Kirchoff'smethod (sum of all voltages around a loop is zero).Apply Laplace transform as outlined in the lecture for Week 2 and in the document "Solving RC,RLC, and RLCircuits Using Laplace Transforms" (located in Doc Sharing) andwrite i(s) in Laplace transform notation. Express the denominator with the coefficient of the highest power of s unity.Then invert to obtain the current in time domain, i(t).

925_Laplace transform7.png

If needed, use the transform pair

968_Laplace transform8.png

Use whichever is applicable.

Data Structure, Computer Science

  • Category:- Data Structure
  • Reference No.:- M9402863
  • Price:- $70

Priced at Now at $70, Verified Solution

Have any Question?


Related Questions in Data Structure

Data Communication Delivering Information anywhere

Topic: Data Communication Delivering Information anywhere. Write a 9-12 pages paper in which you: Present an overview of the origin and history of the concept. Describe the current use of and attitude toward the concept. ...

Problem regarding the management program

Problem: Looks like its just adding a save and load feature to the same file you sent me for python 3.5 Until now, you have had to leave your team management program running on your computer indefinitely since you did no ...

  • 4,153,160 Questions Asked
  • 13,132 Experts
  • 2,558,936 Questions Answered

Ask Experts for help!!

Looking for Assignment Help?

Start excelling in your Courses, Get help with Assignment

Write us your full requirement for evaluation and you will receive response within 20 minutes turnaround time.

Ask Now Help with Problems, Get a Best Answer

Why might a bank avoid the use of interest rate swaps even

Why might a bank avoid the use of interest rate swaps, even when the institution is exposed to significant interest rate

Describe the difference between zero coupon bonds and

Describe the difference between zero coupon bonds and coupon bonds. Under what conditions will a coupon bond sell at a p

Compute the present value of an annuity of 880 per year

Compute the present value of an annuity of $ 880 per year for 16 years, given a discount rate of 6 percent per annum. As

Compute the present value of an 1150 payment made in ten

Compute the present value of an $1,150 payment made in ten years when the discount rate is 12 percent. (Do not round int

Compute the present value of an annuity of 699 per year

Compute the present value of an annuity of $ 699 per year for 19 years, given a discount rate of 6 percent per annum. As