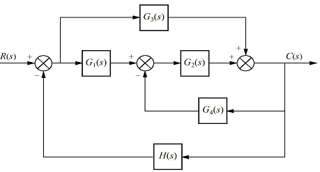
1. Simplify the above system block diagram, and determine its closed-loop transfer functions.

for the following questions, given 
2. Determine the range of K that will make this unity feedback system stable using Routh-Hurwitz criterion.
3. Given K = 90, draw the Bode plots for the above system, and determine its gain margin and phase margin.
4. Obtain the steady-state error for a unit step input.