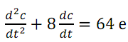
1. A closed loop servo is represented by the differential equation given by Eq. 1, where c is the displacement of the output, r is the displacement of the input shaft and the error e = r - c. Find the transfer function C/R and then determine un-damped natural frequency ωn, damping ratio ζ and percentage maximum overshoot Mp for a unit step input.

2. For servomechanisms with open loop transfer functions given below, explain what type of input (step, ramp, parabolic) that will give a constant steady-state error and calculate their values (assume unity feedback).

3. Consider a unity feedback system with a closed loop transfer function given by Eq. 2. Determine the open loop transfer function and find the steady state error with unit ramp input.
(Hint: start with the definition of closed loop system to obtain G(s))

Given that K = 10, a = 2 and b = 1, use MATLAB to verify the obtained result.