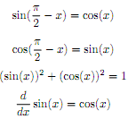
In this lab, we will calculate the derivatives of trigonometric functions. For tests and exams, you will have to know all of these derivatives that you will calculate. We will need to know the following identities and derivatives:

1. Calculate d/dx cos(x) by using the chain rule and the trig identities above.
2. Write tan(x); sec(x); csc(x); and cot(x) in terms of sin(x) and cos(x):
3. Show that

Remember that you know the derivatives of sin(x) and cos(x).
4. Show that
