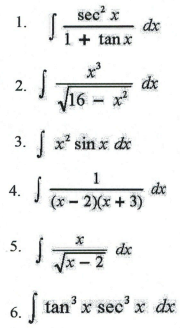
Evaluate the integral (1-6)

7. Determine whether the improper integral is convergent or divergent. If it converges, find its value.

8. Find the length of the curve, y = 2x3/2 , from x = 0 to x = 1
In exercises 9 and 10, determine whether the sequence converges or diverges. If it converges, find the limit.

In exercises 11-14, determine whether the series converges or diverges. Indicate the test(s) that you use to support your conclusion.

15. Find the values of x for which the series converges. Check endpoints.

16. Find the first four terms of the Taylor series of /(x) = e at a = 1.
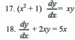
In exercises 17 and 18, solve the differential equation.

19. Solve the initial-value problem.

20. Find the general solution of the nonhomogeneous differential equation,
y'' + 3y' - 10y = e4x
Suggestion: use the method of undetermined coefficients.