Question 1: Correctly match each of the following descriptions to a graph below by inserting the letter of the description that correctly describes the graph in the open box under the graph.
(A) The graph has both an Euler circuit and a Hamilton circuit.
(B) The graph has an Euler circuit but does not have a Hamilton circuit.
(C) The graph does not have an Euler circuit but does have a Hamilton circuit.
(D) The graph does not have an Euler circuit and does not have a Hamilton circuit.

Question 2. A graph G has a set of vertices V = {1, 2, 3, 4, 5, 6, 7} and a set of edges E = {(1,4), (1,5), (2,5), (2,6), (3,2), (3,4), (4,5) (4,6), (3,7), (5,7)}. Draw the graph G.
Question 3: Construct the incidence and adjacency matrices for each of the following graphs.
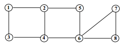
Question 4: Consider the adjoining connected graph consisting of 8 nodes and 10 edges.
Answer the following questions regarding this graph.
(a) Does this graph contain an Euler circuit? If your answer is yes, describe the circuit. If your answer is no, explain why there is no Euler circuit.
(b) Does this graph contain an Euler path? If your answer is yes, describe the path. If your answer is no, explain why there is no Euler path.
(c) Does this graph contain a Hamilton circuit? If your answer is yes, describe the circuit. If your answer is no, explain why there is no Hamilton circuit.

Question: 5. The adjoining diagram is a graph with five nodes (or vertices) labelled A, B, C, D and E. The lengths of the edges joining the nodes are shown on the graph.
a) Find all Hamilton paths going from node A to node B.
b) Find the lengths of each of the Hamilton paths from node A to node B.

Question 6. Consider the following digraphs. Draw their corresponding incidence matrices.

Question 7. Consider the following incidence matrix. Draw its corresponding digraph.
Question 8: Determine which two of the following three graphs A, B & C are equivalent
Question: 9. The adjoining graph consists of 6 nodes (or vertices) labeled A, B, C, D, E and F and 9 edges connecting pairs
of nodes. Does this graph contain an Euler path? If your answer is yes, provide an example of an Euler path for this graph. If your answer is no, explain why no Euler path exists.
Question 10. Give an example of a connected graph having the following properties. Note: The graph need not be a simple graph.
(a) A graph with 3 nodes that has both an Euler circuit and a Hamilton circuit.
(b) A graph with 4 nodes that has both an Euler circuit and a Hamilton circuit.
(c) A graph with 3 nodes that has an Euler circuit but not a Hamilton circuit.
(d) A graph with 4 nodes that has an Euler circuit but not a Hamilton circuit.