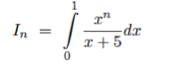
Considering the integral:

a. Show that the succession In satisfy: I0=In(6/5)
b. Using the recursion of the part (a), write the function in matlab:
[Integral] = recursion,. (n) that gives the integral vector if the first n+1 values I0....In of the succession generated for the recursion of the part (a).
c. Using the code, generate the first 40 terms: show the result using the format long e. Comment about your results.