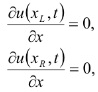
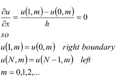
1. This code for heat equation I need to edit the boundary conditions to newmann conditions which are:

And apply the explicit scheme in these boundary.

2. Draw the exact solution and compare the results:

3. Calculate the error between the exact solution and explicit solution.