1. Indicate whether each of the following functions is invertible in the given pts interval. Explain.

2. a. Use Definition 1 on page 38 of the textbook to show that the function

is one-to-one.
b. Find the inverse function, f-1(x).
c. Give the domain and range of the functions f and f 1.
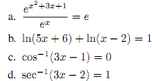
3. Find the solution of the following equations, if the solution exists.

4. Use logarithmic differentiation to find

5. Evaluate the following limits, justifying your answers. If a limit does not exist explain why.

6. Give the equation of the line tangent to the curve at the given point.

7. Describe the strategy you would use to integrate

if m and n are odd.
8. Integrate each of the expressions below, and identify the technique of integration you apply.

Attachment:- assign1-2nov10.rar