1. Find the order of the group of transformations that leaves an equilateral triangle invariant. Identify the complete set of group elements, find a matrix representation, and then construct the multiplication table. What is the common name of this group?
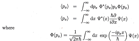
2. Show that the two expressions below are equivalent.

What conditions are necessary for this equivalence?
3. Derive the position-momentum Heisenberg Uncertainty Principle. What is the value of ΔxΔpx for the Gaussian wave packet

Suppose the variance, cr2 is the complex number oi + io-?, then what is the value of axagis (be careful about normalization)? What is the solution to the Schrodinger equation of a free particle if 0(x) is taken as the initial condition 0(x, t = 0)?
4. For the wave function, ii)(x) = co exp(ipox/h)/1/42 + x2, find the normalization constant co and the probability of finding the particle in the interval ±a//5. What is the mean momentum?