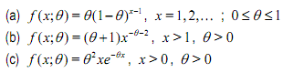
1. For each of the following distributions, find the expected value of X.

2. Let X1,......Xn be a random sample from each of the distributions in problem 1. In each case, find the joint distribution of X1,......Xn.
3. The amount of time (in hours), , X needed by a local repair shop, Rusts 'R Us, to repair a randomly selected piece of equipment is assumed to be an exponential random variable with pdf

(a) Explain in words what the random variable, , X represents in this scenario. Why is X considered a random variable?
(b) Identify the parameter and explain in words what the parameter represents in this scenario.
(c) In a random sample of 5 repair times, Rusts 'R Us observes the following values (in hours):
(c) In a random sample of 5 repair times, Rusts 'R Us observes the following values (in hours):
14, 6, 3, 4, 1.5
Explain in words what n, X1,......Xn and x1,......xnare in this situation, and, if applicable, give the numerical values of each.
(d) Find the joint distribution of the random sample in part (c). List all assumptions made when finding this joint distribution and explain whether or not each is reasonable in this scenario.
(e) Rusts 'R Us wants to estimate the expected amount of time needed to repair a piece of equipment. Identify the parameter Rusts 'R Us wants to estimate, and explain why the sample mean, , X is an appropriate statistic for the business to use.
(f) Why is the statistic identified in part (e) considered a random variable? Give the observed value of the statistic, , x based on data provided in part (c).
Attachment:- Assignment.rar