You are given the following data for options on a common stock;
S = $102 X = $75 r = 2.5% T = 3 months σ = .2
a. Use the Black-Scholes Option Pricing Model to find the price of the options.
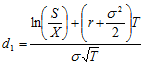
(i) Find
and 
(ii) Use your answers from a(i) to find N(d1) and N(d2). Note: Round your answers to 2 decimal places before looking the values up in the tables.
(iii) Use the Black-Scholes OPM to find C.
(iv) Use the put-call parity relationship to find the value of C.
b. State the intrinsic value and the speculative premium for the call and put options. Why is the speculative premium so small for each option?