The continuous random variable X has probability density function (pdf) given by

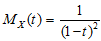
Show that, subject to t < 1, the Moment Generator Function, MGF, of X is:

Use the series expansion method of the MGF to find E(X), E(X2) and E(X3), the first three moments of X about the origin. Use your results to show that the mean and variance of X are both equal to 2.
The standardised third moment, b3 = E{ (X - m)3 ÷ s3 }, provides a measure of skewness in the distribution of X. Determine the value of b3 for this distribution.
Using a suitable distributional approximation, find the probability that the mean of a random sample of n = 25 observations will exceed 2.5.