Consider the following bank balance sheet (fixed rates and pure discount securities unless indicated otherwise). Interest rates on liabilities are 10 percent and on assets are 12 percent.

• a. What is the duration of assets, DA, liabilites, DL, and Equity, E.
b. The bank will benefit or be hurt if all interest rates rise (assume by the same amount).
c. Compute the repricing gap for the bank using those assets and liabilities repricing or maturing in 2 years or less. From this information, will the bank be hurt or benefit by a 200 basis point rise in interest rates on assets and liabilities?
d. If the bank gets an additional $100 in a 6-month certificate of deposit, what investments (using the above portfolio possibilities) should it make to control interest rate risk (Δ y = � 200 basis point change in all interest rates) by changing the duration of its portfolio? State the advantages and disadvantages of using net worth immunization and asset/liability duration as a means of controlling interest rate risk. Define your terms.

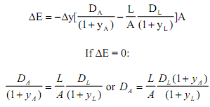
ΔE = change in market value of the portfolio,
DA = duration of assets,
DL = duration of liabilities,
DE = duration of the portfolio or equity,
E = market value of equity,
L = market value of liabilities,
A = market value of assets, and
Δy = change in interest rates.