1. A system contains 6 components A, B, C, D, E, and F. The min cut sets for the system are {A,B,C}, {A,D,F},{B,C,E}, and {D,E,F}.
a. Draw a fault tree for the system in which each event occurs only once.
b. Give the min paths of the system.
2. A system containing 5 components labeled A, B, C, D, and E, has failed. Initially,
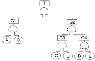
it was estimated that P(A)=1x10-3, P(B)=3x10-3, P(C)= 6,x10-3, P(D) = 1x10-4, and P(E) =8x10-4.However , initial maintenance has revealed that component C has failed. What is the next most likely component to inspect given the following system fault tree.

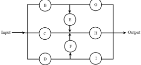
3. Consider the following system where the arrows indicate flow direction

And respective failure probabilities
|
|
|
|
|
COMPONENT
|
|
|
|
|
|
B
|
C
|
D
|
E
|
F
|
G
|
H
|
I
|
|
Pr{Failure}
|
1.00E-08
|
1.20E-07
|
6.00E-07
|
1.20E-07
|
4.00E-08
|
3.40E-06
|
6.70E-07
|
5.50E-08
|
a. What is the probability of system failure?
b. If you could improve one component which one would you improve?
4. Given P(a) = 1x10-4, P(b) = 3x10-4, P(c) = 7x10-4, P(d) = 9x10-5, and P(e) = 2x10-4,
And given that

5. A common question in reliability and risk analysis "is it better to make a system of redundant components or just a redundant system?". Consider answering this question for the following system with independent and identical components where probability of unsuccessful operation for each component is p.
