Ask Econometrics Expert

1. Aggregate output is produced with 908_Draw the graph of the law of motion of capital per worker.png, population of workers grows according to 795_Draw the graph of the law of motion of capital per worker1.png, capital stock evolves according to 943_Draw the graph of the law of motion of capital per worker2.png, and saving rate is s.

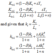
a. Derive the law of motion of capital per worker.

127_Draw the graph of the law of motion of capital per worker3.png

b. Draw the graph of the law of motion of capital per worker, and indicate the steady state.

Econometrics, Economics

  • Category:- Econometrics
  • Reference No.:- M9376811

Have any Question?


Related Questions in Econometrics

Monte carlo exercisein order to illustrate the sampling

Monte Carlo Exercise In order to illustrate the sampling theory for the least squares estimator, we will perform a Monte Carlo experiment based on the following statistical model and the attached design matrix y = Xβ + e ...

Economics and quantitative analysis linear regression

Economics and Quantitative Analysis Linear Regression Report Assignment - Background - In your role as an economic analyst, you have been asked the following question: how much does education influence wages? The Excel d ...

Basic econometrics research report group assignment -this

Basic Econometrics Research Report Group Assignment - This assignment uses data from the BUPA health insurance call centre. Each observation includes data from one call to the call centre. The variables describe several ...

Question - consider the following regression model for i 1

Question - Consider the following regression model for i = 1, ..., N: Yi = β1*X1i + β2*X2i + ui Note that there is no intercept in this model (so it is assumed that β0 = 0). a) Write down the least squares function minim ...

  • 4,153,160 Questions Asked
  • 13,132 Experts
  • 2,558,936 Questions Answered

Ask Experts for help!!

Looking for Assignment Help?

Start excelling in your Courses, Get help with Assignment

Write us your full requirement for evaluation and you will receive response within 20 minutes turnaround time.

Ask Now Help with Problems, Get a Best Answer

Why might a bank avoid the use of interest rate swaps even

Why might a bank avoid the use of interest rate swaps, even when the institution is exposed to significant interest rate

Describe the difference between zero coupon bonds and

Describe the difference between zero coupon bonds and coupon bonds. Under what conditions will a coupon bond sell at a p

Compute the present value of an annuity of 880 per year

Compute the present value of an annuity of $ 880 per year for 16 years, given a discount rate of 6 percent per annum. As

Compute the present value of an 1150 payment made in ten

Compute the present value of an $1,150 payment made in ten years when the discount rate is 12 percent. (Do not round int

Compute the present value of an annuity of 699 per year

Compute the present value of an annuity of $ 699 per year for 19 years, given a discount rate of 6 percent per annum. As