Ask International Economics Expert

Problem set. International Money and Finance

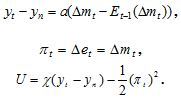
1.      Consider the following model:

1526_International Money and Finance.png

Notation: t denotes time, y denotes output, yn is the potential output, e is the nominal exchange rate, U is the government's utility function, Δmt is money growth, E expectations operator. Πt is the inflation at time t.

a) Explain how inflation and output are determined in the model, in particular, discuss government preferences about output and inflation. Also explain the determination of the nominal exchange rate in this model.

b) Show that the ex-ante optimal policy implies that government will announce zero inflation and a constant exchange rate.

c) Compute the ex-post optimal monetary policy and the consequences for nominal exchange rate. Explain your results

d) Compute the optimal monetary policy, when the government decides to delegate the monetary policy in a conservative central bank with thefollowing objective function U = -1/2(Πt)2. Show that a fixed exchange rate could be used to solve the time- inconsistency problem. Explain your results.

International Economics, Economics

  • Category:- International Economics
  • Reference No.:- M9377262

Have any Question?


Related Questions in International Economics

Part of the return on the investment comes from the asset

Part of the return on the investment comes from the asset itself and part from the currency of the foreign currency. agree or disagree?

Legal aspects of international trade and enterprisetopic

Legal Aspects of International Trade and Enterprise TOPIC for ASSIGNMENT: Bumper Development Corp. Ltd. V. Commissioner of Police of the Metropolis and Others (For case review, refer Textbook: pp. 150-153) ASSIGNMENT GUI ...

  • 4,153,160 Questions Asked
  • 13,132 Experts
  • 2,558,936 Questions Answered

Ask Experts for help!!

Looking for Assignment Help?

Start excelling in your Courses, Get help with Assignment

Write us your full requirement for evaluation and you will receive response within 20 minutes turnaround time.

Ask Now Help with Problems, Get a Best Answer

Why might a bank avoid the use of interest rate swaps even

Why might a bank avoid the use of interest rate swaps, even when the institution is exposed to significant interest rate

Describe the difference between zero coupon bonds and

Describe the difference between zero coupon bonds and coupon bonds. Under what conditions will a coupon bond sell at a p

Compute the present value of an annuity of 880 per year

Compute the present value of an annuity of $ 880 per year for 16 years, given a discount rate of 6 percent per annum. As

Compute the present value of an 1150 payment made in ten

Compute the present value of an $1,150 payment made in ten years when the discount rate is 12 percent. (Do not round int

Compute the present value of an annuity of 699 per year

Compute the present value of an annuity of $ 699 per year for 19 years, given a discount rate of 6 percent per annum. As