1. (a) Give three examples for each of natural convection and forced convection which occur in industrial processes.
(b) The Grash of number and the Reynolds number appear in most correlations of experimental data for convective heat transfer.
Explain, in a maximum of 150 words, the mechanisms of natural and forced convection with particular reference to the above non-dimensional groups.
(c) An appropriate correlation for heat transfer by natural convection from a horizontal pipe to the atmosphere is

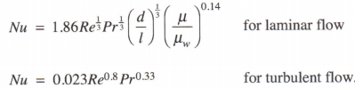
2. Liquid ammonia is heated as it flows at a mean velocity of 2 m s-1 through a circular pipe. The pipe, which has an internal diameter of 75 mm, is at a uniform temperature of 27°C, and the ammonia at a section 1.2 m from the inlet to the pipe has a temperature of -23°C. Use the following information to estimate the local heat transfer flux at / = 1.2 m. Note, the properties of ammonia liquid have been taken at -23°C, except where stated.
Liquid ammonia properties:
Density = 600 kg m-3
Specific heat capacity = 4.8610 kg-1 K-'
Dynamic viscosity (at 27°C) = 1.19 x 10-4 kg m-1 r1 Dynamic viscosity = 2.05 x 10-4 kg m-' r1
Thermal conductivity = 5.11 x 10-4 kW m-1 r1
Heat transfer correlations:
